在通常的激光器性能检测中,我们可能会碰到一个检测参数,那就是瑞利长度,瑞利长度是激光器的性能参数之一。
瑞利长度也有时候叫焦深,专业术语叫瑞利长度,当激光束的腰斑半径ω0增加到√2ω0时的光束传输距离z,称为瑞利长度,焦深为2倍瑞利长度。瑞利长度越长,则光束在焊接工件时,光斑面积变化较小,能量密度变化也更小,在光斑覆盖范围内,功率密度更稳定。
一般瑞利长度相对长的,就说明焦深也长,这样找焦点之后,对工件一些变形以及高反材料的焊接虚焊概率低,因为轻微的高度变化不会对激光能量密度发生太大影响,同时也降低了对找焦点的要求。
瑞利长度英文:Rayleigh length
定义:束腰与模式半径增加到2的平方根倍处的距离。
激光光束的瑞利长度(瑞利范围)是其束腰(在传播方向上)与光束半径增加到2的平方根倍处的距离。对于截面为圆形的光束,对应其模式面积变为2倍时的点。
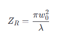
高斯光束的瑞利长度是有束腰半径w0和波长λ决定的:

其中波长λ为真空波长除以材料的折射率n。
对于给定束腰半径的光束,且光束质量不是理想的,瑞利长度有效减小的因子为 M2因子。即给定束腰半径的情况下,这一光束具有更大的光束发散角。
在计算聚焦激光光束时,采用瑞利长度很方便,它决定了焦深。因此光束聚焦程度与焦点处光强之间需要权衡,聚焦不太强的光束瑞利长度更长,即焦深更大。例如,当聚焦的泵浦光束瑞利长度与增益介质长度相比拟时,可以得到最高的激光增益:较弱的聚焦会降低泵浦强度,而更强的聚焦引起强的发散会限制有效相互作用长度。非线性相互作用是类似的情形,例如,倍频产生,尽管这时还存在一些复杂的诸如古依相移等效应,这里相位匹配是很重要的。
早期通常采用共焦参数b表示,它是瑞利长度的两倍。
瑞利长度检测项目主要是为了,评估激光器的光束质量和性能指标,瑞利长度检测是一项非常重要的检测工作,尤其是对于激光的光束性能评估。
瑞利长度(Rayleigh Length或Rayleigh Range),在光学和激光科学中,是一个非常关键的参数,它描述了高斯光束从其最窄点(腰部)开始,到光束截面面积扩大为腰部面积两倍时的距离。瑞利长度体现了光束的发散特性,对于理解、设计和优化激光系统至关重要。
瑞利长度对激光的影响
光束质量:瑞利长度越长,表示光束在传播过程中的发散越慢,光束质量越高,这对于远距离传输、精密加工(如激光切割、打标)以及光学系统设计都是有利的。
聚焦性能:影响激光在焦点处的能量集中度,进而影响加工效率和精度。较长的瑞利长度有助于在较宽的范围内保持稳定的聚焦效果。
光斑尺寸:决定光束在不同距离上的光斑大小,这对于需要控制光斑尺寸的应用(如激光医疗、科研实验)极为重要。
瑞利长度的测试仪器
光束分析仪:集成了多种测量功能,包括远场/近场扫描,能够直接给出包括瑞利长度在内的光束参数。
激光干涉仪:高精度测量光束波前,适合于要求极高的测量应用。
CCD光束分析系统:结合相机和专业分析软件,适合实验室和生产环境中的快速测量。
刀口/针孔扫描仪:较为传统的方法,适用于特定条件下的精确测量。
深圳谈球吧检验从事激光器光束性能检测服务十余年,拥有丰富的光束性能检测经验,公司技术团队长期从事激光检测工作,可以提供一站式的瑞利长度测试服务,目前我司采用的检测标准是GB/T 26599.1标准,检测设备先进,检测结果精准,欢迎来电咨询。
返回顶部